Notice
Recent Posts
Recent Comments
Link
| 일 | 월 | 화 | 수 | 목 | 금 | 토 |
|---|---|---|---|---|---|---|
| 1 | 2 | 3 | 4 | |||
| 5 | 6 | 7 | 8 | 9 | 10 | 11 |
| 12 | 13 | 14 | 15 | 16 | 17 | 18 |
| 19 | 20 | 21 | 22 | 23 | 24 | 25 |
| 26 | 27 | 28 | 29 | 30 |
Tags
- python priority queue
- python zip_longest
- 파이썬릿코드풀기
- python 릿코드
- 릿코드
- 코틀린기초
- leetcode 풀기
- 상가수익률계산기
- 파이썬 알고리즘
- 릿코드 파이썬
- 알고리즘풀이
- binary search
- 파이썬알고리즘풀기
- 파이썬 릿코드
- 잇츠디모
- 파이썬 프로그래머스
- 릿코드 풀기
- leetcode풀기
- python 알고리즘
- python Leetcode
- 릿코드풀기
- python sorted
- 파이썬 알고리즘 풀기
- 알고리즘풀기
- 릿코드풀이
- 파이썬알고리즘
- python xor
- 파이썬릿코드
- leetcode풀이
- LeetCode
Archives
- Today
- Total
소프트웨어에 대한 모든 것
872. Leaf-Similar Trees 본문
반응형
문제)
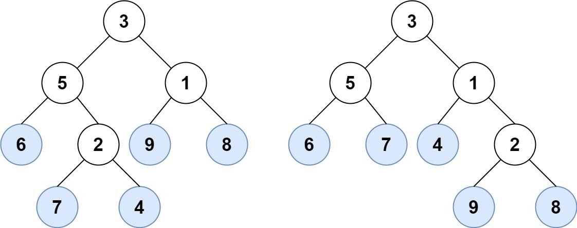
Consider all the leaves of a binary tree, from left to right order, the values of those leaves form a leaf value sequence.

For example, in the given tree above, the leaf value sequence is (6, 7, 4, 9, 8).
Two binary trees are considered leaf-similar if their leaf value sequence is the same.
Return true if and only if the two given trees with head nodes root1 and root2 are leaf-similar.
Example 1:

Input: root1 = [3,5,1,6,2,9,8,null,null,7,4], root2 = [3,5,1,6,7,4,2,null,null,null,null,null,null,9,8]
Output: true
Example 2:

Input: root1 = [1,2,3], root2 = [1,3,2]
Output: false
Constraints:
- The number of nodes in each tree will be in the range [1, 200].
- Both of the given trees will have values in the range [0, 200].
솔루션1)
- dfs로 노드를 순회
- node의 왼쪽 자식과 오른쪽 자식이 없으면 leaf이므로 값을 리스트에 저장
class Solution:
def leafSimilar(self, root1: Optional[TreeNode], root2: Optional[TreeNode]) -> bool:
def dfs(node, leafs):
if node is None:
return
if node.left is None and node.right is None:
# leaf node
leafs.append(node.val)
return
dfs(node.left, leafs)
dfs(node.right, leafs)
leafs1 = []
dfs(root1, leafs1)
leafs2 = []
dfs(root2, leafs2)
return leafs1 == leafs2

솔루션2)
- 솔루션1의 코드를 조금 더 최적화 해서 dfs() 함수의 파라미터로 넘어가는 leaf 노드의 값을 저장하는 리스트 매개 변수를 제거
- 그런데, 솔루션1보다 속도는 더 느리네요...ㅠ
class Solution:
def leafSimilar(self, root1: Optional[TreeNode], root2: Optional[TreeNode]) -> bool:
def dfs(node):
if node is None:
return []
if node.left is None and node.right is None:
return [node.val]
return dfs(node.left) + dfs(node.right)
return dfs(root1) == dfs(root2)

반응형
'알고리즘 > LeetCode' 카테고리의 다른 글
| 1962. Remove Stones to Minimize the Total (0) | 2022.12.29 |
|---|---|
| 404. Sum of Left Leaves (0) | 2022.12.28 |
| 2149. Rearrange Array Elements by Sign (0) | 2022.12.27 |
| 2148. Count Elements With Strictly Smaller and Greater Elements (0) | 2022.12.27 |
| 2103. Rings and Rods (0) | 2022.12.27 |
Comments