Notice
Recent Posts
Recent Comments
Link
| 일 | 월 | 화 | 수 | 목 | 금 | 토 |
|---|---|---|---|---|---|---|
| 1 | 2 | 3 | ||||
| 4 | 5 | 6 | 7 | 8 | 9 | 10 |
| 11 | 12 | 13 | 14 | 15 | 16 | 17 |
| 18 | 19 | 20 | 21 | 22 | 23 | 24 |
| 25 | 26 | 27 | 28 | 29 | 30 | 31 |
Tags
- 알고리즘풀이
- 릿코드 파이썬
- 파이썬릿코드
- 파이썬릿코드풀기
- python Leetcode
- python priority queue
- python zip_longest
- leetcode 풀기
- LeetCode
- 릿코드 풀기
- 파이썬알고리즘풀기
- 릿코드풀기
- leetcode풀기
- 알고리즘풀기
- binary search
- 릿코드풀이
- 파이썬 릿코드
- 상가수익률계산기
- leetcode풀이
- 파이썬 알고리즘
- 코틀린기초
- 파이썬알고리즘
- python xor
- 잇츠디모
- 파이썬 알고리즘 풀기
- python sorted
- 파이썬 프로그래머스
- python 릿코드
- python 알고리즘
- 릿코드
Archives
- Today
- Total
소프트웨어에 대한 모든 것
404. Sum of Left Leaves 본문
반응형
문제)
Given the root of a binary tree, return the sum of all left leaves.
A leaf is a node with no children. A left leaf is a leaf that is the left child of another node.
Example 1:

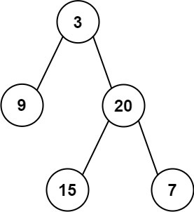
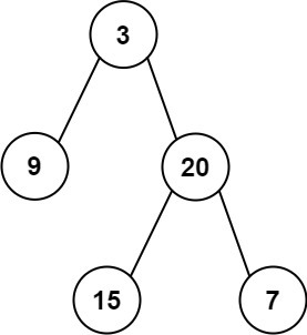
Input: root = [3,9,20,null,null,15,7]
Output: 24
Explanation: There are two left leaves in the binary tree, with values 9 and 15 respectively.
Example 2:
Input: root = [1]
Output: 0
Constraints:
- The number of nodes in the tree is in the range [1, 1000].
- -1000 <= Node.val <= 1000
솔루션1)
- DFS를 이용해서 방문한 노드의 자식이 없는 경우 leaf로 인식
- 추가적으로 왼쪽 leaf를 찾아야하므로 재귀함수에 direction을 주어서 왼쪽 자식인지, 오른쪽 자식인지 값을 넘겨서 왼쪽 leaf의 경우만 체크해야 함
class Solution:
def sumOfLeftLeaves(self, root: Optional[TreeNode]) -> int:
LEFT = 0
RIGHT = 1
def dfs(node, direction):
if node is None:
return 0
# 자식이 없는 leaf and 왼쪽 노드
if node.left is None and node.right is None and direction == LEFT:
return node.val
return dfs(node.left, LEFT) + dfs(node.right, RIGHT)
return dfs(root, -1)

솔루션2)
- 솔루션1 코드 개선
class Solution:
def sumOfLeftLeaves(self, root: Optional[TreeNode]) -> int:
def dfs(node, is_left):
if node is None:
return 0
# 자식이 없는 leaf and 왼쪽 노드
if node.left is None and node.right is None and is_left:
return node.val
return dfs(node.left, is_left=True) + dfs(node.right, is_left=False)
return dfs(root, is_left=False)

반응형
'알고리즘 > LeetCode' 카테고리의 다른 글
| 1534. Count Good Triplets (0) | 2022.12.29 |
|---|---|
| 1962. Remove Stones to Minimize the Total (0) | 2022.12.29 |
| 872. Leaf-Similar Trees (0) | 2022.12.27 |
| 2149. Rearrange Array Elements by Sign (0) | 2022.12.27 |
| 2148. Count Elements With Strictly Smaller and Greater Elements (0) | 2022.12.27 |
Comments